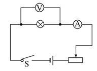
某同学测小灯泡电阻的电路如图所示,其中电源电压为4.5V。他按电路图正确连接好实验电路,并检查各元件完好。然后闭合开关S,发现灯泡很亮,且电压表的读数为4.5V。造成该现象的原因是 ________________。

如图甲所示是伏安法测电阻的另一种电路图。如图乙所示是作了部分连接的电路实物图。请依据图甲用笔画线代替导线,将图乙所示的实物图补充连接成完整电路。

某同学利用电压表和电流表测量电阻R1的阻值(约9Ω),电源选用两节干电池。
(1)按图甲电路,将图乙中电流表正确连入电路。
(2)该同学检查电路连接正确后,闭合开关,可是无论怎样移动滑片,电压表示数总为3V不变,你认为发生故障的原因可能是
或 。
(3)清除故障后,小明将滑片P向左滑动时,电压表示数将 (选填“增大”“减小”或“不变”),当滑片P滑到某一位置时,两表读数如图丙所示,由此可知R= Ω。你认为这个结果可靠吗? 。理由是 。

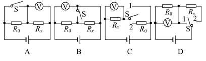
某同学在没有电流表的情况下,利用电压表和已知阻值的定值电阻R0,测量未知电阻Rx的阻值,图中不能测量Rx阻值的电路图是( )
